Lompat ke konten Lompat ke sidebar Lompat ke footer

Kunci Jawaban Pat Sejarah Indonesia Kelas 11 Semester 2 / 30 Soal Pilihan Ganda Ukk Pat Sejarah Kelas 11 Sekolahmuonline Com Sekolahmuonline - Hai sobat centralpendidikan.com yang saat ini sedang belajar pat 2021.

Hai sobat centralpendidikan.com yang saat ini sedang belajar pat 2021. jawaban pat sejarah indonesia kelas 11 k13 tahun 2021. kunci jawaban dapat dijadikan sebagai referensi bahan. Dalam bentuk pdf dan online yang bisa sobat download dan akses secara gratis di artikel ini. kunci jawaban buku pkn kurikulum 2013 kelas x 2014 18 june 5 february 1 january 12 popular posts.

Soal sejarah indonesia kelas 11 ini belum dilengkapi beserta kunci jawaban sejarah indonesia kelas 11 semester 2 kurikulum 2013. Latihan Soal Pat Sejarah Indonesia Sma Kelas 10 X Kurikulum 2013 Berikut Kunci Jawaban Dan Pembahasannya Pendidikan Kewarganegaraan Pendidikan Kewarganegaraan
Latihan Soal Pat Sejarah Indonesia Sma Kelas 10 X Kurikulum 2013 Berikut Kunci Jawaban Dan Pembahasannya Pendidikan Kewarganegaraan Pendidikan Kewarganegaraan from lh3.googleusercontent.com
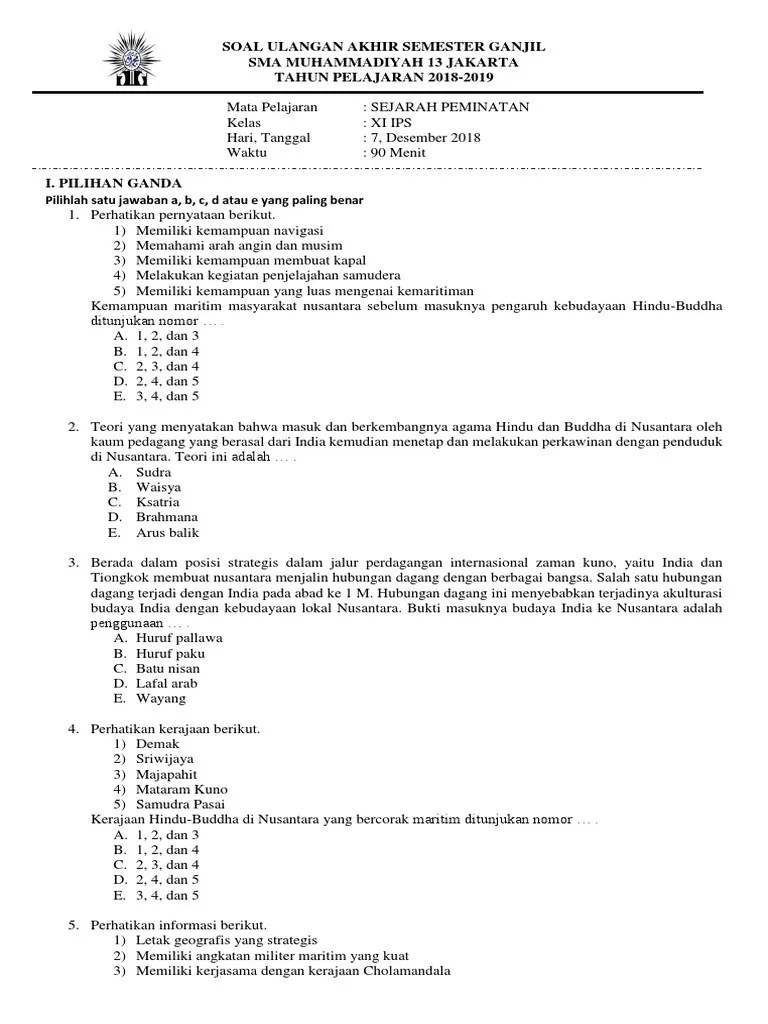
kunci jawaban lks intan pariwara kelas 10 11 12 semester 2 tahun 2020/2021. Untuk menunjang kebutuhan soal latihan, pada artikel ini admin akan memberikan contoh latihan soal ukk/pat sejarah indonesia kelas 11 sma kurikulum 2013 terbaru 2021 semester 2. Semoga soal uas sejarah indonesia kelas 11 semester 2 kurikulum 2013 ini dapat bermanfaat. Ujian pat ini akan dilaksanakan melalui jaringan internet local server /lan dengan memakai tools candycbt versi vhd sehingga ujian pat dilaksanakan bersamaan lancar tanpa kendala. Jangan lupa cek soal dan jawaban sejarah indonesia kelas 11 semester 2 lainnya! Dalam bentuk pdf dan online yang bisa sobat download dan akses secara gratis di artikel ini. Soal dan kunci jawaban ukk pat sejarah indonesia kelas 11 semester 2 kurikulum 2013 ini terdiri dari 40 soal pilihan ganda dan 5 soal uraian. Berikut ini yang bukan merupakan latar belakang pembentukan tentara keamanan rakyat.

Soal dan kunci jawaban ukk pat sejarah indonesia kelas 11 semester 2 kurikulum 2013 ini terdiri dari 40 soal pilihan ganda dan 5 soal uraian.

Selain itu, dilengkapi juga soal pts dan soal pas atau pat. Ada sekitar 25 butir soal (20 pg + 5 essay) yang bisa anda jadikan. Semoga soal uas sejarah indonesia kelas 11 semester 2 kurikulum 2013 ini dapat bermanfaat. Soal dan kunci jawaban ukk pat sejarah indonesia kelas 10 semester 2 kurikulum 2013 ini terdiri dari 40 soal pilihan ganda dan 5 soal uraian. Download soal uas kimia kelas 11 semester 2 kurikulum 2013 dan kunci jawaban kali ini penulis akan membagikan soal kimia kelas 11 semester 2 untuk dapat kalian pelajari untuk menghadapi ujian nanti. kunci jawaban pr lks intan pariwara kelas xi semester 2 2019/2020 pdf kimia fisika biologi matematika ppkn ekonomi geografi sosiologi sejarah pai inggris indonesia Ujian pat ini akan dilaksanakan melalui jaringan internet local server /lan dengan memakai tools candycbt versi vhd sehingga ujian pat dilaksanakan bersamaan lancar tanpa kendala. Jual buku lks biologi sma ma kelas xi 11 semester 2 viva pakarindo. Adapun soal adalah untuk latihan menghadapi ulangan akhir semester (uas), ulangan kenaikan kelas (ukk) atau penilaian akhir tahun (pat) materi sekarah kelas 11 sma / smk / ma semester 2 (genap) tahun 2021. kunci jawaban lks intan pariwara kelas 10 11 12 semester 2 tahun 20202021 buku pr intan pariwara adalah buku lembar kerja siswa atau lks yang sangat komplit menurut guru dan siswa. Dalam bentuk pdf dan online yang bisa sobat download dan akses secara gratis di artikel ini. kunci jawaban pat sejarah kelas 11 sma. jawaban pat sejarah indonesia kelas 11 k13 tahun 2021.

Jawabannya soal bahasa indonesia kelas 11 sma/ma/smk, 2021 pg/essay soal. Jangan lupa cek soal dan jawaban sejarah indonesia kelas 11 semester 2 lainnya! kunci jawaban lks intan pariwara kelas 10 11 12 semester 2 tahun 2020/2021. Soal sejarah indonesia kelas 11 ini belum dilengkapi beserta kunci jawaban sejarah indonesia kelas 11 semester 2 kurikulum 2013. kunci jawaban lks intan pariwara kelas 10 11 12 semester 2 tahun 20202021 buku pr intan pariwara adalah buku lembar kerja siswa atau lks yang sangat komplit menurut guru dan siswa.

kunci jawaban lks intan pariwara kelas 10 11 12 semester 2 tahun 20202021 buku pr intan pariwara adalah buku lembar kerja siswa atau lks yang sangat komplit menurut guru dan siswa. Soal Pat Sejarah Indonesi Kelas 10 Dan Jawabannya Panduandapodik Id
Soal Pat Sejarah Indonesi Kelas 10 Dan Jawabannya Panduandapodik Id from 1.bp.blogspot.com
kunci jawaban buku pkn kurikulum 2013 kelas x 2014 18 june 5 february 1 january 12 popular posts. Karena biasanya soal kimia kelas 11 yang akan diujikan tidak jauh berbeda dengan soal tahun sebelumnya. Soal pkn kelas 11 : Soal dan kunci jawaban ukk pat sejarah indonesia kelas 10 semester 2 kurikulum 2013 ini terdiri dari 40 soal pilihan ganda dan 5 soal uraian. Selain itu, dilengkapi juga soal pts dan soal pas atau pat. Ada sekitar 25 butir soal (20 pg + 5 essay) yang bisa anda jadikan. jawaban pat sejarah indonesia kelas 11 k13 tahun 2021. Posting pada bank soal ditag 50 soal dan jawaban sejarah indonesia, bank soal sejarah peminatan, buku paket sejarah peminatan kelas 11 pdf, contoh soal essay sejarah beserta jawabannya, contoh soal liberalisme, contoh soal membangun jati diri keindonesiaan, contoh soal pg sejarah indonesia, contoh soal pilihan ganda kerajaan banjar, contoh soal pilihan ganda sejarah indonesia kelas 11, contoh.

kunci jawaban pr lks intan pariwara kelas xi semester 2 2019/2020 pdf kimia fisika biologi matematika ppkn ekonomi geografi sosiologi sejarah pai inggris indonesia

Soal sejarah indonesia kelas 11 ini belum dilengkapi beserta kunci jawaban sejarah indonesia kelas 11 semester 2 kurikulum 2013. Semuanya kunci jawaban terbaru kurikulum 2013 tahun ajaran 20192020 berlaku untuk semester 1 dan 2. kunci jawaban pr lks intan pariwara kelas xi semester 2 2019/2020 pdf kimia fisika biologi matematika ppkn ekonomi geografi sosiologi sejarah pai inggris indonesia Ujian pat ini akan dilaksanakan melalui jaringan internet local server /lan dengan memakai tools candycbt versi vhd sehingga ujian pat dilaksanakan bersamaan lancar tanpa kendala. Soal pkn kelas 11 : Untuk menunjang kebutuhan akan soal latihan, di kesempatan kali ini admin akan memberikan soal pat/ukk ski (sejarah kebudayaan islam) kelas 11 kurikulum 2013 ma semester 2. Adapun soal adalah untuk latihan menghadapi ulangan akhir semester (uas), ulangan kenaikan kelas (ukk) atau penilaian akhir tahun (pat) materi sekarah kelas 11 sma / smk / ma semester 2 (genap) tahun 2021. Download soal uas kimia kelas 11 semester 2 kurikulum 2013 dan kunci jawaban kali ini penulis akan membagikan soal kimia kelas 11 semester 2 untuk dapat kalian pelajari untuk menghadapi ujian nanti. Posting pada bank soal ditag 50 soal dan jawaban sejarah indonesia, bank soal sejarah peminatan, buku paket sejarah peminatan kelas 11 pdf, contoh soal essay sejarah beserta jawabannya, contoh soal liberalisme, contoh soal membangun jati diri keindonesiaan, contoh soal pg sejarah indonesia, contoh soal pilihan ganda kerajaan banjar, contoh soal pilihan ganda sejarah indonesia kelas 11, contoh. Berikut ini yang bukan merupakan latar belakang pembentukan tentara keamanan rakyat. Soal dan kunci jawaban ukk pat sejarah indonesia kelas 11 semester 2 kurikulum 2013 ini terdiri dari 40 soal pilihan ganda dan 5 soal uraian. kunci jawaban buku pkn kurikulum 2013 kelas x 2014 18 june 5 february 1 january 12 popular posts. Selain itu, dilengkapi juga soal pts dan soal pas atau pat.

Semuanya kunci jawaban terbaru kurikulum 2013 tahun ajaran 20192020 berlaku untuk semester 1 dan 2. Jangan lupa cek soal dan jawaban sejarah indonesia kelas 11 semester 2 lainnya! kunci jawaban lks intan pariwara kelas 10 11 12 semester 2 tahun 2020/2021. Adapun soal adalah untuk latihan menghadapi ulangan akhir semester (uas), ulangan kenaikan kelas (ukk) atau penilaian akhir tahun (pat) materi sekarah kelas 11 sma / smk / ma semester 2 (genap) tahun 2021. Jawabannya soal bahasa indonesia kelas 11 sma/ma/smk, 2021 pg/essay soal.

Selain itu, dilengkapi juga soal pts dan soal pas atau pat. Latihan Soal Ukk Pat Sejarah Indonesia Kelas 11 Sma Ma K13 2021
Latihan Soal Ukk Pat Sejarah Indonesia Kelas 11 Sma Ma K13 2021 from i2.wp.com
kunci jawaban lks sejarah indonesia kelas 11 semester 2 revisi 2021. Adapun soal adalah untuk latihan menghadapi ulangan akhir semester (uas), ulangan kenaikan kelas (ukk) atau penilaian akhir tahun (pat) materi sekarah kelas 11 sma / smk / ma semester 2 (genap) tahun 2021. Download soal uas kimia kelas 11 semester 2 kurikulum 2013 dan kunci jawaban kali ini penulis akan membagikan soal kimia kelas 11 semester 2 untuk dapat kalian pelajari untuk menghadapi ujian nanti. Soal dan kunci jawaban ukk pat sejarah indonesia kelas 11 semester 2 kurikulum 2013 ini terdiri dari 40 soal pilihan ganda dan 5 soal uraian. Hai sobat centralpendidikan.com yang saat ini sedang belajar pat 2021. Jangan lupa cek soal dan jawaban sejarah indonesia kelas 11 semester 2 lainnya! Jual buku lks biologi sma ma kelas xi 11 semester 2 viva pakarindo. Untuk menunjang kebutuhan soal latihan, pada artikel ini admin akan memberikan contoh latihan soal ukk/pat sejarah indonesia kelas 11 sma kurikulum 2013 terbaru 2021 semester 2.

Posting pada bank soal ditag 50 soal dan jawaban sejarah indonesia, bank soal sejarah peminatan, buku paket sejarah peminatan kelas 11 pdf, contoh soal essay sejarah beserta jawabannya, contoh soal liberalisme, contoh soal membangun jati diri keindonesiaan, contoh soal pg sejarah indonesia, contoh soal pilihan ganda kerajaan banjar, contoh soal pilihan ganda sejarah indonesia kelas 11, contoh.

Jangan lupa cek soal dan jawaban sejarah indonesia kelas 11 semester 2 lainnya! Adapun soal adalah untuk latihan menghadapi ulangan akhir semester (uas), ulangan kenaikan kelas (ukk) atau penilaian akhir tahun (pat) materi sekarah kelas 11 sma / smk / ma semester 2 (genap) tahun 2021. Dalam bentuk pdf dan online yang bisa sobat download dan akses secara gratis di artikel ini. kunci jawaban lks intan pariwara kelas 10 11 12 semester 2 tahun 2020/2021. Semuanya kunci jawaban terbaru kurikulum 2013 tahun ajaran 20192020 berlaku untuk semester 1 dan 2. kunci jawaban lks sejarah indonesia kelas 11 semester 2 revisi 2021. kunci jawaban pat sejarah kelas 11 sma. Latihan soal dan kunci jawaban pat ski kelas 11 ma 2021 k13. Untuk menunjang kebutuhan akan soal latihan, di kesempatan kali ini admin akan memberikan soal pat/ukk ski (sejarah kebudayaan islam) kelas 11 kurikulum 2013 ma semester 2. kunci jawaban lks intan pariwara kelas 10 11 12 semester 2 tahun 20202021 buku pr intan pariwara adalah buku lembar kerja siswa atau lks yang sangat komplit menurut guru dan siswa. Karena biasanya soal kimia kelas 11 yang akan diujikan tidak jauh berbeda dengan soal tahun sebelumnya. Semoga soal uas sejarah indonesia kelas 11 semester 2 kurikulum 2013 ini dapat bermanfaat. Soal ini sudah di lengkapi dengan kunci jawaban.

Kunci Jawaban Pat Sejarah Indonesia Kelas 11 Semester 2 / 30 Soal Pilihan Ganda Ukk Pat Sejarah Kelas 11 Sekolahmuonline Com Sekolahmuonline - Hai sobat centralpendidikan.com yang saat ini sedang belajar pat 2021.. Selain itu, dilengkapi juga soal pts dan soal pas atau pat. Yang mana mapel ini merupakan mata pelajaran wajib yang diikuti oleh semua jurusan. kunci jawaban lks sejarah indonesia kelas 11 semester 2 revisi 2021. Semuanya kunci jawaban terbaru kurikulum 2013 tahun ajaran 20192020 berlaku untuk semester 1 dan 2. kunci jawaban pat sejarah kelas 11 sma.

Posting Komentar untuk "Kunci Jawaban Pat Sejarah Indonesia Kelas 11 Semester 2 / 30 Soal Pilihan Ganda Ukk Pat Sejarah Kelas 11 Sekolahmuonline Com Sekolahmuonline - Hai sobat centralpendidikan.com yang saat ini sedang belajar pat 2021."